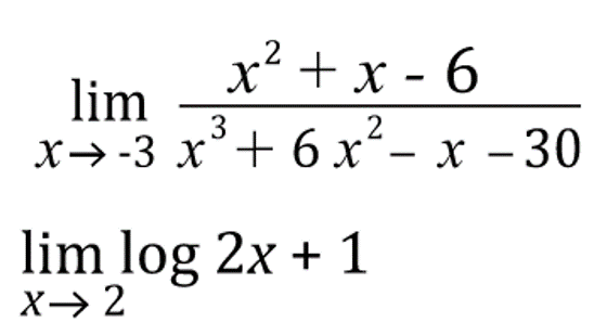
¿Cómo calcular estos limites nuevos?
Da solución de las siguientes funciones incluyendo el procedimiento correspondiente:

Nota: En caso de que no se pueda realizar, explica las razones.
Ahora tabula y gráfica con un rango para el eje x de -8 a 9, cada una de las siguientes funciones incluye tus gráficas en excel o geogebra:

1 Respuesta
Respuesta de Lucas m
3