Preguntas esperando respuesta
Actividad pública reciente
Ha valorado "Excelente" la respuesta
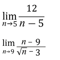
¿Cómo calcular estos limites nuevos?
Ha valorado "Buena" la respuesta
¿Como realizo la siguiente función de una bala?
Ha preguntado en el tema en
Matemáticas
y en 1 temas más
¿En qué punto, la bala, alcanzó su altura máxima?
A).- Una bala se dispara desde el piso formando una trayectoria tipo parábola, donde su ecuación es: y = -x2 + 13x – 30. ¿En qué punto, la bala, alcanzó su altura máxima? Determina los puntos desde donde fue lanzada la bala, así como el punto en...
Sin respuestas
Ha valorado "Excelente" la respuesta
¿Cómo resolver el siguiente problema de movimiento uniformemente acelerado?
Te dejo el LINK a esta misma pregunta Salu2
Ha valorado "Excelente" la respuesta
Concentración de CO2 en una función 1981 a 1983
Voto positivo a la respuesta
Aproxima el cambio en la concentración de CO2 en los mares de 1980 a 1983.
· · ¡Hola MACLOVIO! Esa pregunta ya la contesté aquí: Concentración CO2 viejo Pero me parece que han cambiado parte del enunciado, voy a resolver el problema actual. Hace almorzar bien para leer un ejercicio de estos. El caso es que hay mucha teoría...
Ha valorado "Excelente" la respuesta
Tengo duda sobre como realizar esta actividad de limites,
Educación
-
Trabajador


Presentar el desarrollo para la resolución de cada punto con sus gráficas correspondientes, para la recta secante y la tange