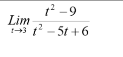
Como se resuelve el siguiente ejercicio de limites de forma indeterminada?

Resolver el siguiente ejercicio aplicando la forma indeterminada
1 respuesta
Respuesta de Lucas m
1