Para este ejercicio debo expresar la siguiente integral como un limite de sumas de Riemman

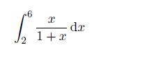
De la siguiente integral

Solo deseo o convertirla a una expresión de la forma de limites o sumatoria de Riemman y no resolverla

1 respuesta

Respuesta
1

;)
Hola recce!

Haremos las sumas de Riemann por la derecha.

La suma de Riemann por la derecha es

$$\begin{align}&\sum_{i=1}^nf(x_i) \Delta x\\&\\&x_i=a+i  \Delta x\end{align}$$

donde  i  indicaría el intervalo de izquierda a derecha

longitud del intervalo:

$$\begin{align}&\Delta x= \frac{b-a} n= \frac{6-2} n= \frac 4 n\\&\\&Suma \ de \ Riemann\\&\\&\sum_{i=1}^n f(x_i) \Delta x=  \sum_{i=1}^n f(x_i) ·\frac 4 n=\\&\\&las \ constantes \ salen \ fuera \ del \ sumatorio\\&\\&=\frac 4 n \sum_{i=1}^n f(x_i)= \frac 4 n \sum_{i=1}^n f(2+i \Delta x)= \frac 4 n \sum_{i=1}^n f(2+i \frac 4 n)=\\&\\&= \frac 4 n \sum_{i=1}^n \frac{ 2+ \frac {4i} n}{1+2+i \frac 4 n}=\frac 4 n \sum_{i=1}^n \frac{ 2+ \frac {4i} n}{3+\frac {4i} n}=\\&\\&= \frac 4 n \sum_{i=1}^n \frac{2n+4i}{3n+4i}\end{align}$$

La suma de Riemann será el límite de esa suma cuando n tiende a infinito:

$$\begin{align}&\lim_{n\to \infty} \Bigg( \frac 4 n \sum_{i=1}^n \frac{2n+4i}{3n+4i} \Bigg)\end{align}$$

saludos

;)

;)

Añade tu respuesta

Haz clic para o

Más respuestas relacionadas