Preguntas esperando respuesta
Actividad pública reciente
Ha preguntado en el tema en
Matemáticas
Un proceso estocástico a tiempo discreto es estacionario si cumple que: ?
Elige la respuesta que corresponde a la pregunta planteada. Y justifica tu respuesta el porqué de tu respuesta Para las variables son independientes. X0, x1-x0, x2-x1,.., xn-xn-1Tiene que ser continuo.Tiene un espacio de estados numerable.Es...
Sin respuestas
Ha preguntado en el tema en
Matemáticas
y en 1 temas más
¿Cómo es el método de factorización de la diagonal de una matriz?
Utilizando el método de fatorizacion de la diagonal de la matriz, encontrar A elevado a la 10 potencia donde A
Sin respuestas
Ha valorado "Excelente" la respuesta
Diagonalización de matrices, como se realiza este calculo! Como se si es diagonizable?
Una propiedad muy usada es que toda matriz simétrica es diagonalizable. Por tanto como la matriz A es simétrica, será diagonalizable Ojo: Sólo funciona en ese sentido, es decir, también existen matrices no simétricas diagonalizables(el procedimiento...
Ha preguntado en el tema en
Matemáticas
y en 1 temas más
Escribe la ecuación cuadrática en la forma Av.V=d , (donde A es una matriz simétrica)
Y elimina el término xy rotando los ejes un ángulo θ. Escribe la ecuación en términos de las nuevas variables e identifica la sección cónica obtenida. Como se resuelve este problema?
Sin respuestas
Ha valorado "Excelente" la respuesta
Transformación lineal de una matriz, tengo esta problema para resolver
Ha preguntado en el tema en
Matemáticas
y en 1 temas más
Ejercicio de matrices, Base, Dimension, Núcleo: Tengo la siguiente transformación
Tengo que encontrar una base y dimensión para el núcleo T de la siguiente transformación La base del núcleo es A[x, y, x]=0 entonces Por Gauss calcule x, y, z para calcular el núcleo, ¿No se si estoy en lo correcto? X=0, y=0 ,z=0 ¿Y cómo calculo la...
Sin respuestas
Ha valorado "Excelente" la respuesta
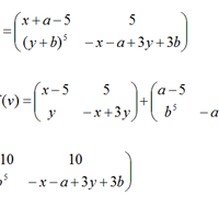
Ejercicio de transformación lineal, reglas de transformación
;) Hola recce! Una transformación es lineal si verifica que 1) f(u+v)=f(u)+f(v) 2) f(k u)=k f(u) Sean u=(x,y) v=(a,b) u+v=(x+a,y+b) 1) T(u+v)=T(x+a,y+b)=( 2(x+a)-5(y+b) , -x-a-y-b , 1+x+a) T(u)+T(v)=(2x-5y , -x-y , 1+x ) + (2a-5b , -a-b , 1 +a)=...
Ha valorado "Excelente" la respuesta
Reglas de transformación lineal, determine si la transformación dada de V en W
Ha valorado "Excelente" la respuesta
Resolver la siguiente Integral indefinida
;) Hola recce! Seguro que la has copiado bien! Podría ser
Ha valorado "Excelente" la respuesta
Ejercicio de evaluar la siguiente suma de riemann
Ha valorado "Excelente" la respuesta
Tengo la siguiente integral definida para resolver
;) Hola recce! Haré la sustitución x-1 =t Saludos ;) ;)
