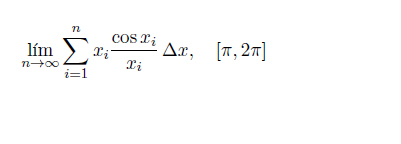
Como puedo expresar la siguiente sumatoria con limites en una integral definida

Sobre el intervalo dado, solo deseo como expresarla y no resolverla
1 respuesta
Respuesta de Lucas m
1