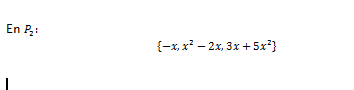
Determina si el conjunto de vectores dado es linealmente dependiente o independiente

esto es lo que se!
V1 , V2 , V3 son Lineal mente Independientes si aV1 + bV2 + cV3 = 0 solamente si a = b = c = 0.
Si aV1 + bV2 + cV3 = 0 y a ≠ b ≠ c ≠ 0 entonces son lineal mente dependientes
¿Cómo lo aplico a este problema o se resuelve diferente?
1 respuesta
Respuesta
1
