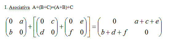
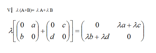
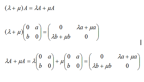
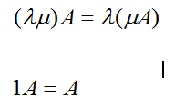
Determina si el conjunto dado es un espacio vectorial. De no ser así proporciona una lista de los axiomas que no se cumplen.
El conjunto de matrices de 2×2 que tienen la forma
0 a
B 0
Bajo la suma y multiplicación por un escalar usuales.
1 respuesta
Respuesta de Lucas m
1




