;)
Bueno, supongo que quieres el valor exacto, es decir cuando el numero de rectángulos n tiendea infinito:

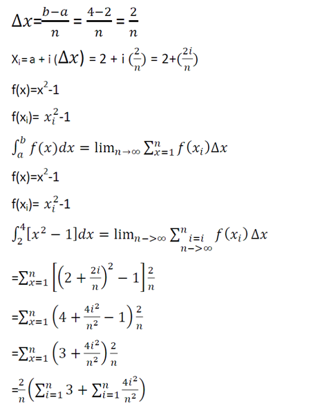
Esa sería una suma para una partición n=4
Hagamos la para una partición n:
Ancho de cada partición:
$$\begin{align}&\Delta= \frac{b-a} n=\frac {4-2} 2=2\\&\\&Abscisa \ del \ extremo \ derecho \ de \ cada \ subintervalo:\\&\\&x_i=a+\Delta x\\&\\&i\ indicaría \ el \ número \ del \ intervalo \ de\ izquierda \ a \ derecha\\&\\&x_i=2+i \frac 2 n\\&\\&La n-ésima \ Suma \ de \ Riemann:\\&\\& \sum _{i=1}^n f(x_i)· \Delta x= \sum _{i=1}^n f(2+i \frac 2 n)· \frac 2 n=\\&\\&\sum _{i=1}^n \Bigg[ \Bigg(2+2 \frac i n \Bigg)^2-1 \Bigg] \frac 2 n=\\&\\&\sum _{i=1}^n \Bigg[ \Bigg(4+ 8 \frac i n+4 \frac{i^2}{n^2} \Bigg)-1 \Bigg] \frac 2 n=\\&\\&las \ constantes \ salen \ fuera \ del \ sumatorio:\\&\\&\frac 2 n \sum _{i=1}^n \Bigg(3+8 \frac i n +4 \frac{i^2}{n^2} \Bigg)\end{align}$$
El sumatorio de los números naturales está al alcance de todos mediante la fórmula de la suma de una sucesión artimética.
$$\begin{align}&S= \frac{n(n+1)} 2\\&\end{align}$$
Para la suma de los cuadrados no es tan sencillo, aunque es probable que hayas visto la fórmula en el tema de demostraciones por inducción.
Sin más te doy la fórmula que la puedes encontrar en Internet
$$\begin{align}&S_2= \frac {n(n+1)(2n+1)} 6\end{align}$$
$$\begin{align}&==\\&\\&\frac 2 n \Bigg( \sum _{i=1}^n3 +\sum _{i=1}^n 8 \frac i n+\sum _{i=1}^n 4 \frac{i^2}{n^2} \Bigg)=\\&\\&\frac 2 n \Bigg( 3n+ \frac 8 n \frac {n(n+1)} 2+ \frac 4 {n^2}· \frac{n(n+1)(2n+1)} 6\Bigg)=\\&\\&6+8 \frac{(n+1)} n+ \frac 8 6 \frac{(n+1)(2n+1)} {n^2}=\\&\\&6+8+\frac 8 n+ \frac 4 3 \frac{2n^2+3n+1}{n^2}=\\&\\&14+\frac 8 n+ \frac 4 3 \Big( 2+ \frac 3 n+ \frac 1 {n^2} \Big)\\&\\&La \ Suma \ Riemann \ es\ cuando \ \lim_{n\to \infty}\\&Solo \ quedan \ los \ terminos \ \sin \ n \ en \ denominador\\&\\&\lim_{n\to \infty}S_n=14+ \frac 8 3= \frac{50} 3=16, \overline 6\end{align}$$