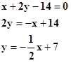
Hallar la ecuación de la recta que pasa por el punto (-2,8)y es perpendicular a la recta 14x-7y+22=0.
![]()
Buenas noches me podrían colaborar por favor con la respuesta de el siguiente ejercicio...
1 respuesta
Respuesta de Luis Alberto Candio Salcedo
1

