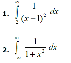
Evaluar las siguientes integrales impropias si convergen o divergen
Resolver los siguientes ejercicios de integrales impropias y determinar si convergen o divergen

1 Respuesta
Respuesta de Lucas m
1