Preguntas esperando respuesta
Actividad pública reciente
Ha valorado "Buena" la respuesta
Resolver el siguiente problema integral
No salió bien escrita la función del costo marginal, revisa los caracteres que faltan para que podamos darte una respuesta. Salu2
Ha valorado "Excelente" la respuesta
Encuentre el área de la región comprendida entre la parábola
Ha valorado "Excelente" la respuesta
Por medio de las integrales podemos hallar volúmenes de sólidos de revolución, momentos o centros de masa.
Voy a llamar a la densidad lineal "D". Podemos expresar el diferencial de masa así (pues la densidad es masa entre longitud, si despejamos...) Sabemos también que : D(60)=7200g/cm, consideramos que el extremo pesado de la barra es el de x=60cm pues...
Voto positivo a la respuesta
Como resolver con integrales y análisis de gráficas
Ha valorado "Excelente" la respuesta
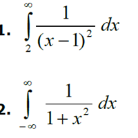
Evaluar las siguientes integrales impropias si convergen o divergen
Ha valorado "Excelente" la respuesta
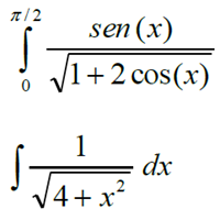
Resolver las siguientes integrales:Indefinida,Definida
Ha preguntado en el tema en
Matemáticas
y en 1 temas más
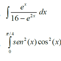
Resolver las siguientes integrales enunciando claramente la técnica o propiedad usada.
Ha empezado a seguir el tema Química
Ha empezado a seguir el tema Ingeniería Eléctrica
