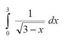
Quien puede resolver esta integral impropia
Evaluar las siguientes integrales impropias si convergen o divergen

1 respuesta
Respuesta de Lucas m
1