Calcular valor de calculo integral

Resolver las siguientes integrales enunciando claramente la técnica o propiedad usada.

Integral Indefinida - Integral Definida

Aplicando las propiedades y definición de integral, resolver las siguientes integrales:

1 respuesta

Respuesta
2

;)

Hola cesar!

1.-

Hay que descomponer la fracción en fracciones simples:

$$\begin{align}&\frac{x}{x^2-3x-10}=\frac{A}{x+2}+\frac{B}{x-5}\\&\\&x=A(x-5)+B(x+2)\\&\\&x=x(A+B)+(2B-5A)\\&\Rightarrow\\&A+B=1\\&-5A+2B=0\\&\\&resolviendo \ el\ sistema\\&A=\frac 2 7\\&B=\frac 57 \\&\\&2 \int \frac{x}{x^2-3x-10}dx=2 \Bigg[\int \frac{A}{x+2}dx+\int \frac{B}{x-5}dx \Bigg]=\\&\\&\frac 4 7 \int \frac 1 {x+2}dx+ \frac{10} 7 \int \frac 1 {x-5} dx=\\&\\&\frac 4 7 ln | x+2| + \frac {10} 7 ln |x-5 |+C\\&\end{align}$$

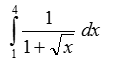
2.-

Se hace con un cambio de variable. Cambiaré los límites de integración para la nueva variable, con lo cual no tienes que deshacer el cambio:

$$\begin{align}&\int_1^4 \frac 1 {1 + \sqrt x} dx=\\&\\&u= \sqrt x \Rightarrow du =\frac1{2 \sqrt x}dx \Rightarrow dx= 2 \sqrt x du= 2u du\\&\\&x=1 \Rightarrow u = \sqrt 1 =1\\&x=4 \Rightarrow u= 2\\&\\&= \int_1^2 \frac{1}{1+u} 2u du= \int_1^2 \frac{2u}{1+u} du=dividiendo=\\&\\&== \int_1^2\Bigg( 2- \frac{2}{1+u} \Bigg)du= \Bigg[ 2u-2 ln |u+1| \Bigg]_1^2=\\&\\&=4-2 ln3-(2-2ln2)=2-2ln3+2ln2=2-ln9+ln4\end{align}$$

Saludos

;)

;)

;)

¿No entendiste algo?

Vota a todos los expertos por igual.

Excelente en señal de agradecimiento, yo no me evalúo, esto es un acto desinteresado

Puedes cambiar tu voto

Saludos

;)

;)

Añade tu respuesta

Haz clic para o

Más respuestas relacionadas