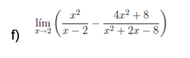
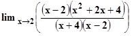
Necesito calcular el siguiente limite

Hola, necesito ayuda para resolver este limite que se in determina...
1 Respuesta
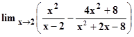
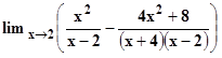
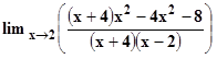
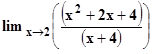
Respuesta de Luis Alberto Candio Salcedo
1








