Hallar la suma de términos de una progresión geométrica
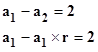
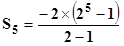
Hallar la suma de los cinco primeros términos de una progresión geométrica, cuya razón es igual al primer termino, con signo contrario, y la diferencia de los dos primeros es igual a 2.
1 respuesta
Respuesta de Luis Alberto Candio Salcedo
1



