Análisis de Límites y Continuidad.calculo diferencial

------------------------------------------------------------------------------------------------------------------------------------------------------------------------------------------------------------

2 respuestas

Respuesta
1

;)
Hola Andres!

Dan la indeterminación infinito/infinito, que se puede resolver de dos maneras:

. 1)La clásica, dividiendo numerador y denominador por x elevado a la máxima poténcia

2) La moderna, tomando los términos dominantes del numerador y denominador, que son los que predominan para valores muy, muyyy, muyyyyyyy grandes de x:

8)

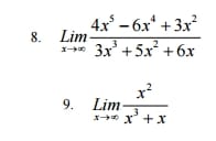
$$\begin{align}&\lim_{x \to \infty} \frac{4x^5-6x^4+3x^2}{3x^3+5x^2+6x}= \frac{\infty }{\infty}= \lim_{x \to \infty} \frac{4x^5}{3x^3}=\lim_{x \to \infty} \frac{4x^2}{3}=+ \infty\\&\\&9)\\&\lim_{x \to \infty} \frac{x^2}{x^3+x}=\frac{\infty}{\infty}=\lim_{x \to \infty}\frac{x^2}{x^3}=\lim_{x \to \infty} \frac{1}{x}=\frac{1}{\infty}=0\end{align}$$

saludos

;)

;)

Respuesta
1

·

·

¡Hola Andrés!

Por supuesto que puedes usar las reglas del grado del numerador y el denominador. Pero lo normal es que cuando te enseñan esas reglas ya no te ponen estos ejercicios y cuando no te las han enseñado es cuando te los ponen. Te los voy a hacer por lo de dividir todo por algo de forma que queden cocientes que tienden a 0 y otros que no.

Cuando el grado del numerador y denominador es distinto yo recomiendo dividir por x elevado al menor de los dos grados, es el método con el que queda más claro el signo que tomará el limite.

Entonces en el primero el grado del numerador es 5 y el del denominador es 3, dividiré todo por x^3. Y en el segundo todo por x^2

$$\begin{align}&8)\quad\lim_{x\to\infty} \frac{4x^5-6x^4+3x^2}{3x^3+5x^2+6x}=\\&\\&\lim_{x\to\infty} \frac{4x^2-6x+\frac 3x}{3+\frac 5x+\frac 6x}=\\&\\&\text{Este aun necesita un pequeño arreglo más}\\&\text{porque el numerador va a quedar=}\infty-\infty\\&\\&\lim_{x\to\infty} \frac{x(4x-6)+\frac 3x}{3+\frac 5x+\frac 6x}=\frac{\infty·\infty+0}{3+0+0}=\frac{\infty}{3}=\infty\\&\\&--------------------\\&\\&9) \lim_{x\to \infty} \frac{x^2}{x^3+x}= \lim_{x\to\infty}\frac{1}{x+\frac 1x}=\frac{1}{\infty+0}=\frac{1}{\infty}=0\end{align}$$

Y así se calculan sin usar que unos infinitos son más importantes que otros, usando solo que los finitos son despreciables al lado de los infinitos.

Y eso es todo, saludos.

:

:

Añade tu respuesta

Haz clic para o

Más respuestas relacionadas