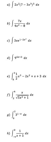
Necesito calcular las siguientes integrales:

Respuesta de Jorge Herrera
1
2 respuestas más de otros expertos
Respuesta de Valero Angel Serrano Mercadal
2
Respuesta
2