Karla Velazquez Amaya

Karla Velazquez Amaya

 México @karlavelazquezamaya desde - visto
Preguntar

Actividad pública reciente

Ha valorado "Excelente" la respuesta

Cuál es el valor de la pendiente y su gráfica?

respondió: · · ¡Hola Karla! A) La pendiente de una recta expresada en la forma y = mx + b Es m Luego en la función y = 300x + 2500 La pendiente es 300 · C) Esta es la gráfica de la función Y eso es todo, salu_dos. : :
Ha cambiado su perfil.
  • Ha cambiado su foto.
Ha valorado "Excelente" la respuesta

¿Cómo traducir este ejercicio al lenguaje matemático?

respondió: · · ¡Hola Karla! Primero daremos nombre a las incógnitas, lo normal es llamarlas x y y, aunque también podrías llamarlas s y m por ejemplo. Yo haré lo primero que lo normal son las ecuaciones con x y y. x= número de sillas y = número de mesas Nos...
Ha valorado "Excelente" la respuesta

¿Cómo traducir a lenguaje matemático part1?

respondió: · · ¡Hola Karla! Esto de traducir a lenguaje matemático depende del profesor, y se puede ser tan meticuloso que se puede caer en el ridículo, yo no me meteré mucho en ello, lo suficiente para resolver. 1A) Llamemos x al dinero que debe pagar la...
Ha valorado "Excelente" la respuesta

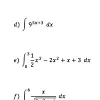
¿Cómo se calculan las siguientes integrales?

respondió: · · ¡Hola Karla! Yo te pondré un enlace donde las resolví con sustitución y sin sustitución. Son tan sencillas que no hace falta, pero por si acaso la necesitaras lo tienes de las dos formas ¿Cómo resolver integrales por el método de sustitución? No...
Ha valorado "Excelente" la respuesta

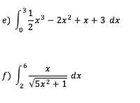
¿Cómo resolver las siguientes integrales?

respondió: · · ¡Hola Karla! La primera es definida y se resuelve directamente y la segunda es definida y se resuelve por cambio de variable y cambio simultáneo de límites de integración para no tener que deshacerlo en el momento de evaluar el resultado. Y ya...
Voto positivo a la respuesta

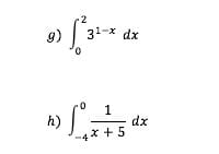
Solucion de las siguientes integrales

respondió: ;) Hola Andy vera! g) Saludos ;) ;)
Ha valorado "Excelente" la respuesta

Necesito calcular las siguientes integrales:

respondió: Estimada Karla: En los siguientes enlaces que seleccioné para ti encontrarás la solución a estos integrales: http://www.inetor.com/indefinidas/ejercicios_integrales.html...

Educación

  • Universidad
    Mercadotecnia