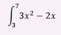
Buena tarde a los expertos, Calcular la integral utilizando el Teorema del Valor Medio
Favor de ayudar en el siguiente ejercicio de calculo integral.
Calcular la integral utilizando el Teorema del Valor Medio para la Integral:

2 respuestas
Respuesta de Lucas m
1
Respuesta de Valero Angel Serrano Mercadal
1