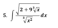
Resolver la siguiente integral indefinida con radicales

Buenos días continuando con mi aprendizaje dejo otro ejercicio para afianzar más mi conocimiento
2 respuestas
Respuesta de Lucas m
2
Respuesta de Valero Angel Serrano Mercadal
1