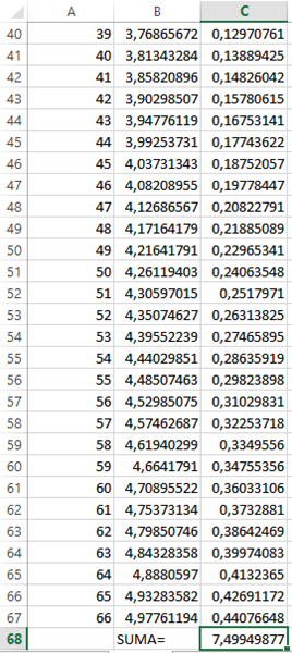
Calcular por aproximación la integral de la siguiente función usando la regla del punto medio
Espero y me puedan ayudar con esta integral para poder entenderle.
Calcular por aproximación la integral de la siguiente función usando la regla del punto medio con n=últimos dos dígitos de tu matricula* Si tu matricula termina en 00, favor de tomar n=50

Y Verificar tu resultado mediante una integral definida.
1 respuesta
Respuesta de Valero Angel Serrano Mercadal
2
