·
·
¡Hola Julio!
No en todos los sitios te van a poner el mismo enunciado, y en algunos se habla del primer y segundo teorema, te pongo lo que dice la wikipedia:
Primer teorema fundamental del cálculo:
Dada una función f integrable sobre el intervalo
, definimos F sobre
por
. Si f es continua en
, entonces F es derivable en
y F'(c) = f(c).
·
Y el segundo:
Dada una función f(x) continua en el intervalo [a,b] y sea F(x) cualquier función primitiva de f, es decir F '(x) = f(x). Entonces

Lo que diga tu libro o apuntes es lo que debe prevalecer.
Las ventajas son sobre todo a la hora de realizar integrales, qe mediantes sumas de Riemann por ejemplo serían harto difíciles o cuanto menos muy pesadas de realizar.
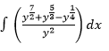
En la integral se han debido equivocar, tendría que coincidir la variable y la diferencial. Tal como está escrito la integral es un constante C, pero se supone que debería ser esta:
$$\begin{align}&\int \frac{y^{\frac 72}+y^{\frac 52}-y^{\frac 14}}{y^2}dy=\\&\\&\int \left(y^{\frac 32}+y^{\frac 12}- y^{-\frac 74} \right)dy=\\&\\&\frac{y^{\frac 52}}{\frac 52}+\frac{y^{\frac 32}}{\frac 32}-\frac{y^{-\frac 34}}{-\frac 34}+C=\\&\\&\frac 25y^{\frac 52}+\frac 23y^{\frac 32}+\frac 43y^{-\frac 34}+C\end{align}$$:
: