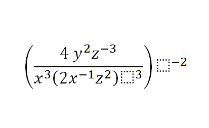
Como simplifico esto? Explicacion porfa
Ayuda con este problema pasa a paso porfavor, ocupo entender lo basico para resolver estos problemas

3 respuestas
Respuesta de Valero Angel Serrano Mercadal
1
Respuesta
1
Respuesta de Lucas m
1