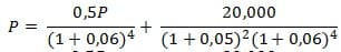
No se como despejar P en la siguiente ecuación

Como despejo P en la siguiente ecuación. Es un problema de matemática financiera y la respuesta que yo encuentro no es lógica

Respuesta
1

Entiendo que 20,000 es 20000

$$\begin{align}&P-\frac{0,5P}{1,06^4}=\frac{20000}{1,06^4·1,05^2}\\&\\&p\\&P \Bigg (1-\frac{0,5}{1,06^4} \Bigg )=\frac{20000}{1,06^4·1,05^2}\\&\\&P \Bigg(\frac{1,06^4-0,5}{1,06^4} \Bigg )= \frac{20000}{1,06^4·1,05^2}\\&\\&P=\frac{20000·1,06^4}{1'06^4·1,05^2(1,06^4-0,5)}\\&\\&P=\frac{20000}{1,05^2(1,06^4-0,5)}=23791,66\end{align}$$

1 respuesta más de otro experto

Respuesta
1

·

Veo un posible lío de los puntos y las comas.

Has usado coma en

0,5   0,05   y   0,06

Lo cual lo veo bien. Pero esta otra coma chirría entonces

20,000

Ya que como mucho se pone

20,00

Si se quiere decir 20.

Voy a resolver el problema suponiendo que

20,000 = 20000

Si no es así, ya te diré cuál sería la otra respuesta:

$$\begin{align}&P=\frac{0,5P}{(1+0,06)^4}+\frac{20000}{(1+0,05)^2(1+0,06)^4}\\&\\&P-\frac{0,5P}{(1,06)^4}=\frac{20000}{(1,05)^2(1,06)^4}\\&\\&P \left(1-\frac{0.5}{1,06^4}  \right)=\frac{20000}{(1,05)^2(1,06)^4}\\&\\&P·\frac{1,06^4-0,5}{1,06^4}=\frac{20000}{1,05^2·1,06^4}\\&\\&P = \frac{20000·1,06^4}{(1,06^4-0,5)·1,05^2·1.06^4}\\&\\&P = \frac{20000}{(1,06^4-0,5)·1,05^2}\\&\\&P =\frac{20000}{0,8406308484}=23791, 6560379\\&\end{align}$$

Y eso es todo.

Añade tu respuesta

Haz clic para o

Más respuestas relacionadas