Rose Vasquez

Rose Vasquez

 Perú @rosevg83 desde - visto
Preguntar

Actividad pública reciente

Ha preguntado en el tema en y en 1 temas más

Estadística Aplicada, Comparación de Varianzas (Hipótesis)

En la siguiente tabla se muestran los datos obtenidos al tomar una muestra de 23 establecimientos y medir el nivel de ventas de dos productos A y B (en miles de soles por semana) de acuerdo al tipo de establecimiento en el que se expenden (Botica o...
Sin respuestas
Ha valorado "Excelente" la respuesta

No se como despejar P en la siguiente ecuación

respondió: Entiendo que 20,000 es 20000
Ha valorado "Excelente" la respuesta

Matemática Financiera - Descuentos - ¿Cuál es el pago total?

respondió: · Normalmente se estipula en el pagaré la tasa de mora como el total qu se paga por incumplimiento. Visto que aquí la tasa de mora es menor que la de pago, supongo que deben sumarse ambas para dar la tasa que se va a pagar de verdad. Entonces la tasa...
Ha valorado "Excelente" la respuesta

Calcule el importe total del descuento racional simple

respondió: · La fórmula del descuento racional es
Ha valorado "Excelente" la respuesta

La empresa TUBRO S.A. Evalúa las siguientes alternativas para adquirir el día de hoy un molino.

respondió: · Debemos calcular el valor actual de los pagos que se deben efectuar al banco y ver si es mayor o menor que los 8000 del contado. Los 2000 tan pronto como los nos los dan hay que devolverlos su valor actual es 2000 y los otros 6 pagos son una renta...
Ha valorado "Excelente" la respuesta

Tasas y Descuentos-Finanzas La empresa Dunas S.A. Ha convocado a un concurso de precios para adquirir una camioneta al crédito.

respondió: · To es cuestión de calcular el valor actual de los pagos y escoger el menor. Ambas ofertas tienen un pago inicial que computa como tal en el valor actual y tres pagos iguales que constituyen una renta pospagable mensual al 0.02 mensual y cuyo valor...
Ha valorado "Excelente" la respuesta

Resolución de problemas con Integrales

respondió: · No es verdero del todo ya que falta la constante de integración C. No obstante vamos a ver si es eso lo único que falla, para ello en lugar de hacer la integral lo que vamos a hacer es derivar la integral para ver si sa la función original. Luego...
Ha valorado "Excelente" la respuesta

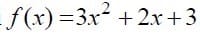
La Integral Indefinida de f es:

respondió: · Comprobamos que la derivada de la integral es f(x) (x^3 + x^2 + 3x)' = 3x^2 + 2x + 3 Con esta pasa lo mismo que con la otra. La integral está bien hecha, pero falta poner la constgante de integración. Hay que conocer al profesor para saber si le...
Ha valorado "Excelente" la respuesta

Integrales, métodos de integración, matemática 2

respondió: · Lo que tienes es una fórmula de las de las integrales inmediatas, luego es verdadero salvo porque falta la constante de integración C Y se puede comprobar haciendo la derivada Luego, como en todas, si perdonamos que falte la constante de...
Voto positivo a la respuesta

¿Qué significa en matemáticas 2x10^-3?

respondió: · Escrito de forma natural es: Y eso es todo.
Ha valorado "Excelente" la respuesta

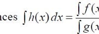
Integral Indefinida. Propiedades. Fórmulas Básicas. Métodos de Integración

respondió: · Eso es falso. Ojalá fuese así de fácil, pero no lo es. Lo demostramos con un pequeño ejemplo. Que no coincide con la parte fundamental de la integral de h(x) · Y eso es todo.
Ha valorado "Excelente" la respuesta

Encontrar el valor de 3n + m

respondió: · ¡Uff! Este parece mucho más complicado que los otros. Hagamos la derivada de lo que se obtiene y veamos si tiene la forma de lo inicial Y eso es todo.