Hallar en el siguiente limite las siguientes condiciones
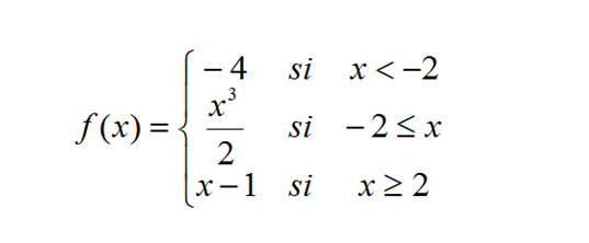
Limit cuando x tiend a 2, mas abajo limit cuando x tiende a -2 si f(x)= abrimos una llave -4 si x<-2,siguiente linea x al cubo/2 si -2 menor o igual x<2 y por ultimo en la siguiente linea x-1 si x>o igual 2, profesor ayúdeme con esta si puede hoy. Un abrazo profesor
2 respuestas
Respuesta de Lucas m
1
Respuesta de Valero Angel Serrano Mercadal
1
