Duda sobre este ejercicio de concepto de funciones continuas y discontinuas en función a su aplicación.
No entendí bien el procedimiento y espero que lo que elabore sea lo correcto, le agradecería me indique el procedimiento correcto:(ya encontré la herramienta para subir imágenes)
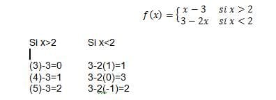
1-Realiza la siguiente función, indique por dónde atraviesa el eje de las “y’s”, o sea la ordenada al origen, calcula los límites cuando “x” tiene a 2 y explica si la función es continua precisamente en y porqué es o no continua.

2-La siguiente expresión representa niveles de inventario de cierta empresa, en diferentes tiempos:

¿Es continua la función en? SI
¿Es continua la función en? SI
¿Es continua la función en? SI
1 respuesta
Respuesta de Valero Angel Serrano Mercadal
6
