Limites laterales, tanto por la derecha como por la izquierda
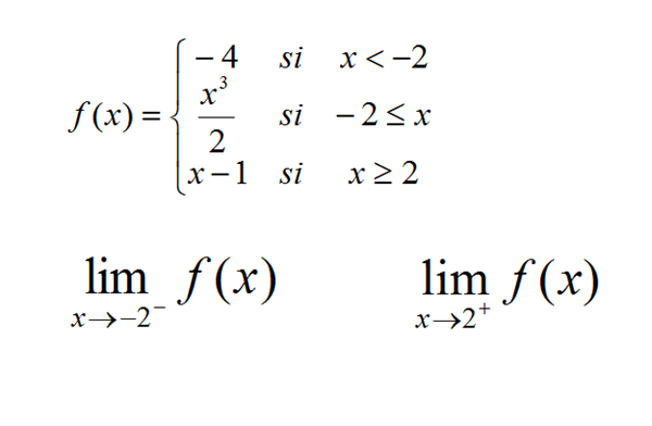
Limite cuando por tiende a 2 derecha, limite cuando por tiende a -2 izquierda hallar, abrimos una llave y luego colocamos dentro de la llave -4 si x<-2, en la siguiente linea x al cubo/2 si -2 menor o igual a x < 2 y x-1 si x mayor o igual a 2, espero me ayude
2 Respuestas
Respuesta de Lucas m
1
Respuesta de Valero Angel Serrano Mercadal
1
