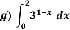
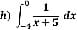
¿Cómo resuelvo las siguientes integrales?

 

Buen día! ¿Podrían ayudarme a contestar estas integrales? Muchas gracias!

1 Respuesta

Respuesta
2

Añade tu respuesta

Haz clic para o

Más respuestas relacionadas