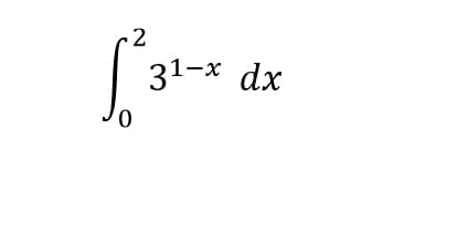
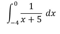
¿Cómo queda resuelta la siguiente integral?
Aplicar los procedimientos necesarios para determinar los valores de la integral. Exponer el procedimiento de integración a detalle.


2 respuestas
Respuesta de Lucas m
2
Respuesta de Valero Angel Serrano Mercadal
2
