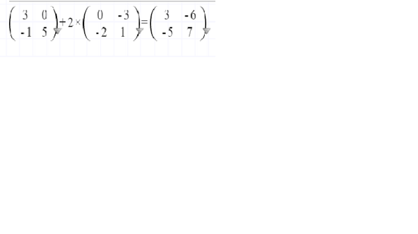
Calcular Matrices si es posible :z ayuda por favor

se agradece con exelentes.
1 respuesta
Respuesta de Lucas m
1

se agradece con exelentes.