Resolver integral por el método de sustitución
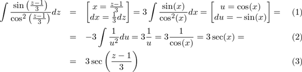
Hola necesito resolver 1) integral= sen ((z-1)/3) dz POR EL MÉTODO DE SUSTITUCIÓN
cos^2 ((z-1)/3)
2)Integral= sen(x) ln cos(x) dx
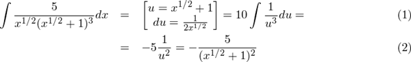
3)integral = 5 dx
x^1/2 ((x^1/2+1))^3
Muchas gracias por tu colaboración
cos^2 ((z-1)/3)
2)Integral= sen(x) ln cos(x) dx
3)integral = 5 dx
x^1/2 ((x^1/2+1))^3
Muchas gracias por tu colaboración
1 respuesta
Respuesta de Fran José García
1

