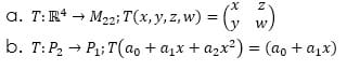
MatemáticasCálculo Yani Juarez el 21 feb. 19 Prueba que la transformación dada es una transformación lineal Álgebra linealPrueba que la transformación dada es una transformación lineal. Seguir Siguiendo Dejar de seguir