La Integral Indefinida de f es:

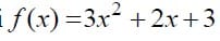
Si

entonces la integral indefinida de f es la expresion: 

a) Verdadero

b) Falso

1 Respuesta

Respuesta
1

·

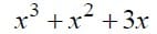
Comprobamos que la derivada de la integral es f(x)

(x^3 + x^2 + 3x)' = 3x^2 + 2x + 3

Con esta pasa lo mismo que con la otra. La integral está bien hecha, pero falta poner la constgante de integración. Hay que conocer al profesor para saber si le importa o no que falte la variable de integración. Para mí la respuesta sería falso, pero a lo mejor para él es verdadero.

Añade tu respuesta

Haz clic para o

Más respuestas relacionadas