Pregunta en
Cálculo
y en 1 temas más
Tema calculo diferencial Resolver el límite por L`Hoppital
Buenas tares compañeros sigo con is ejercicios estoy atento
Pregunta en
Matemáticas
y en 1 temas más
Resolver la derivada de orden superior solicitada.
Pregunta en
Matemáticas
y en 1 temas más
Calcular la derivada implícita de la Siguiente función
Buenos días compañeros estoy atento para que me ayuden con estos ejercicios
Sin respuestas
Pregunta en
Matemáticas
y en 1 temas más
Derivar la siguiente función explicando el paso
Buenas tardes espero me ayuden con e siguiente ejercicio en derivadas
Sin respuestas
Pregunta en
Matemáticas
y en 1 temas más
Calcular la Primera Derivada de las Siguientes Funciones
Buena amios cordial saludo espero me ayuden con el desarollo de estos ejercicios
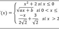
Pregunta en
Ingeniería Electrónica
y en 2 temas más
Continuidad En un proceso de automatización industrial es necesario determinar si la señal del voltaje de alimentación de una p
Pregunta en
Matemáticas
y en 1 temas más
Un cultivo de bacterias crece siguiendo la ley Y= (t^2-1)/(t-3)-(t^3+3)/t^2 Donde el tiempo t ≥ 0
Pregunta en
Matemáticas
y en 1 temas más
Con los datos dados en el diagrama de ven escogido, plantee con sus propias palabras, un ejercicio típico de aplicación de teorí
Sin respuestas
Pregunta en
Matemáticas
y en 2 temas más
• Determine la operación entre conjuntos, representada en el diagrama de venn seleccionado (notación entre conjuntos).• Exprese
Pregunta en
Cálculo
y en 1 temas más
