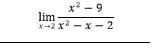
Tema calculo diferencial Resolver el límite por L`Hoppital

Buenas tares compañeros sigo con is ejercicios estoy atento
1 respuesta
Respuesta
1
