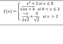
Calcular los valores de a y b para que la función f(x) sea continua

Cordial saludo compañeros adjunto una nueva pregunta espero su ayuda

1 respuesta

Respuesta
1

Supongo que toda la teoría ya la tenés, ¿no? (La función existe en todo punto y para cada punto determinado, la función y los límites laterales coinciden). Dicho esto veamos

f(0), f(2) que son los puntos de quiebre

f(0) = 0^2 + 2 = 2

el límite por izquierda obviamente coincide y el límite por derecha sería

f(0+) = sqrt(a*0 + b) = sqrt(b)

f(2) = sqrt(2a+b)

Por izquierda obviamente coincide y por derecha sería

f(2+) = -2 / (2sqrt(2)) + 3 / sqrt(2)

f(0) = f(0+), por lo tanto 2 = sqrt(b)

f(2) = f(2+), por lo tanto sqrt(2a+b) = -2 / (2sqrt(2)) + 3 / sqrt(2))

De la primera, b = 4

Acomodando la segunda

sqrt (2a + 4) = (-2 + 6) / (2sqrt(2))

sqrt (2a + 4)= 2 / sqrt(2)

Fijate si de la última podés despejar el valor de 'a'

Salu2

Añade tu respuesta

Haz clic para o

Más respuestas relacionadas