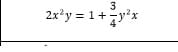
MatemáticasCálculo oscar carreño el 12 abr. 19 Calcular la derivada implícita de la Siguiente función Buenos días compañeros estoy atento para que me ayuden con estos ejercicios Seguir Siguiendo Dejar de seguir