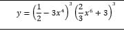
MatemáticasCálculo oscar carreño el 12 abr. 19 Derivar la siguiente función explicando el paso Buenas tardes espero me ayuden con e siguiente ejercicio en derivadas Seguir Siguiendo Dejar de seguir