Respuesta
en
Matemáticas
y en 2 temas más
a
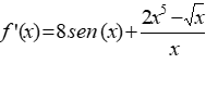
Encuentre el orden de las siguientes ecuaciones
Respuesta
en
Matemáticas
y en 2 temas más
a
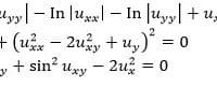
Se considera la función. Calcular ∂f/∂x, ∂f/∂y, (∂^2 f)/(∂x^2 ), (∂^2 f)/∂x∂y, fx (0,1).
Respuesta
en
Matemáticas
y en 2 temas más
a
Hallar fx, fy y evaluarlas en (1, ln(2)).
Tener en cuenta que para hallar las derivadas parciales, todas las otras variables distintas de la parcial se toman como constantes. f(x;y) = z = xe^(x^2y); ∂z/∂x = e^(x^2y) + xe^(x^2y)*2xy; (derivada de un producto de funciones de x y luego, en...
Respuesta
en
Matemáticas
y en 2 temas más
a
Calcular las derivadas parciales de...
f(x,y)=yx^2+3x^3y^4; hagamos f(x; y) = z. Recordar que para derivar respecto a una de las variables, todas las otras se toman como constantes. ∂z/∂x= 2yx + 9x^2y^4; ∂z/∂y= x^2 + 12x^3x^3
Respuesta
en
Matemáticas
y en 2 temas más
a
Es verdad o mentira que la ecuación de Ricatti:
La ED de Ricatti, hasta donde conozco, se transforma en una ED lineal de 1° grado con el cambio de variable: y=y(p) + (1/z); siendo y(p) una solución particular conocida. La dificultad mayor que tuvo la resolución de esta ED fue precisamente la...
Respuesta
en
Matemáticas
y en 1 temas más
a
Sabiendo que tg25º=K calcular: M=g785º-tg115º
Para Tan 785°: 810° = 90°; 785°= 810°-25°; o: 90°-25°; Tan (90°-25°) = (Tan90° - K) / (1 + tan90°*K); Como Tan 90° es ∞; queda: (∞ - K) / (1+K∞); por lo que debo tomar límite tendiendido a ∞; divido numerador y denominador por ∞: [1 - (K/∞)] / [(1/∞)...
Respuesta
en
Matemáticas
a
Solucionar el siguiente ejercicio de calculo integral
Respuesta
en
Matemáticas
a
Desarrollar el siguiente problema calculo diferencial
La progresión es Aritmética (justificación: se suma al anterior valor 12250); además es creciente (el valor siguiente es mayor que el anterior). Tenemos que para n(4) = $650000. Debemos hallar el valor del peor vendedor: n(1) = n(4) - 3*k; n(1) =...
Respuesta
en
Matemáticas
a
Desarrollar la anti derivada más general de las siguientes funciones
Reescribo: f(x) = x^(-4) + x^(-1/4); Usamos la fórmula: Int x^n = [1/(n+1)] x^(n+1); (-1/3)x^(-3) + (4/3)x^(3/4) + C; Compruebo por derivación con la fórmula: Dx^n= n* x^(n-1); x^(-4) + x^(-1/4). Es correcto.
Respuesta
en
Matemáticas
y en 2 temas más
a
¿Cómo describirías usando la noción de función vectorial?
Tomaría el centro del cuadrante (donde están los ejes de las agujas) como cruce de los ejes (x; y). El parámetro sería el tiempo (t), medido en minutos; y como el ángulo (A) tiene en el giro completo 360°, puedo usar "6t °" para tomar directamente el...
