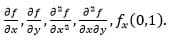
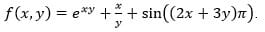
Se considera la función. Calcular ∂f/∂x, ∂f/∂y, (∂^2 f)/(∂x^2 ), (∂^2 f)/∂x∂y, fx (0,1).
Funciones de varias variables
Se considera la función
![]()
Calcular
![]()
2 respuestas
Respuesta de Lucas m
1
Respuesta de Norberto Pesce
1
