Solucionar el siguiente ejercicio de calculo integral

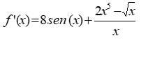
Encuentre todas las funciones f tales que
Encuentre todas las funciones f tales que
1 respuesta
Respuesta de Norberto Pesce
1
