Fran José García

Fran José García

Estudiante de doctorado de Estadística
 95,8K puntos  Andalucía, España @nigihayami desde - visto

Respuestas

Respuesta en a

Ayuda con el cálculo matemático de problemas económicos

Te resuelvo los problemas. En el primero tenemos las siguientes funciones W(t) = 6000+500t+10t^2 P(t) = 10+0.2+0.01t^2 Como sugerencia nos dicen que PNB(t) = W(t)·P(t) = (6000+500t+10t^2)(10+0.2+0.01t^2) = 0.1t^4+7t^3+260t^2+6200t+60000 Entonces nos...
Respuesta en a

Cuál es la proporción de personas con alto coleste

Supongo que con Z te refieres a la Normal de media 0 y varianza 1, ¿no? La proporción con personas con colesteral alto es la siguiente probabilidad P[Z>2] Que mirando en las tablas de la N(0,1), sacas el valor 0.02275013, entonces el 2.28% de las...
Respuesta en a

Despejar una incógnita

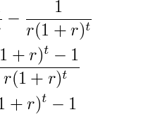
La solución para un "t" general no la puedes, obtener, puesto que hay que aplicar el Binomio de Newton (en este link lo puedes ver http://es.wikipedia.org/wiki/Teorema_del_binomio) Entonces para t=10, es un poco largo, también decirte que no solo...
Respuesta en a

Wavelet

Si me dices que tipo de wavelet, estás utilizando te podré ayudar.
Respuesta en y en 1 temas más a

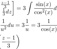
Resolver integral por el método de sustitución

Te dejo una imagen con la solución de la primera si no ves la imagen dimelo Cualquier paso que no entiendas preguntame
Respuesta en a

Estos ejercicios son co metodo gauss jordad

Si me dices cual es el problema que tienes al resolver los ejercicios te puede ayudar, pero sobre todo tienes que intentarlo, no aprenderás si no lo haces, una vez que lo intentes preguntame las dudas que te surjan y yo encantado te ayudaré.
Respuesta en y en 1 temas más a

Alguien que me ayude problemas de estadística

En el primero, puede ser que haya algún problema, porque la desviación típica es muy pequeña, confírmame que está bien ese dato.
Respuesta en y en 1 temas más a

Ayuda con desarrollo de problema de estadística

En este problema tenemos que aplicar un contraste de hipótesis sobre la media con varianza poblacional desconocida, puesto que no nos la dicen Tenemos que Plantear el siguiente contraste H0: mu >= mu(0) H1: mu < mu(0) la información que nos dan es la...
Respuesta en a

Calculo diferencial - Volumen de un cuerpo

Si quieres yo te puedo ayudar.
Respuesta en a

Tarea Ecuación

4x / x+2 supongo que te refieres a 4x/(x+2), ¿no? y al poner 1/x+1 = 1/(x+1), no? Ten cuidado al escribrir las ecuaciones y pon todos los paréntesis que hagan falta.