Despejar una incógnita
Hola necesito ayuda, necesito despejar r de la siguiente ecuación
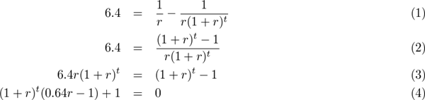
6.4= (1/r) - (1/(r(1+r)^t))
Se los agradeceré mucho, el valor de t=10 y se supone que r debe ser 0.0906
6.4= (1/r) - (1/(r(1+r)^t))
Se los agradeceré mucho, el valor de t=10 y se supone que r debe ser 0.0906
1 respuesta
Respuesta de Fran José García
1
