Tarea Ecuación
Como que me encargaron puras ecuaciones diferentes ya entendí el concepto de división a/b = a·b^(-1) y lo lleve a cabo en un excel para comprobarlo
Me puedes ayudar con esta por favor
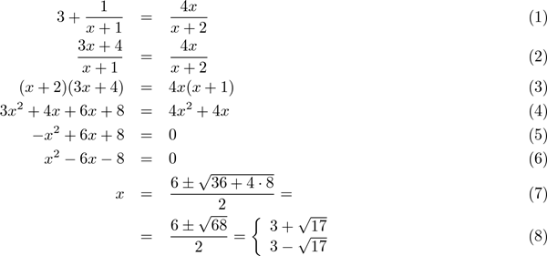
3+ 1/x+1=4x/x+2
Me puedes ayudar con esta por favor
3+ 1/x+1=4x/x+2
1 Respuesta
Respuesta de Fran José García
1

' border='0'/></a>