Respuesta
en
Matemáticas
y en 1 temas más
a
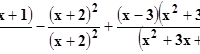
Cómo resolver estos problemas de polinomios
Respuesta
en
Matemáticas
y en 1 temas más
a
Indicar el valor de "a+b+c+d" ver imagen para detalles de los problemas
Respuesta
en
Álgebra
a
Problema 9. Encuentre el valor de por que satisface la siguiente ecuación trigonométrica
Como estas: La ecuación trigonométrica es: Por identidades trigonométricas se tiene: Operando: Factorizando: Luego: Igualando los factores a 0 Listo, eso es todo. No te olvides puntuar la respuesta con "excelente" para poder tener derecho a otras...
Respuesta
en
Matemáticas
y en 1 temas más
a
Cómo interpretar y efectuar estos problemas?
Respuesta
en
Matemáticas
y en 1 temas más
a
Solución problema de ecuación la suma de las tres cifras de un numero es 12
Como estas: Sea el Número: Por dato: De donde se tiene: 2a = b ........................ (I) Luego: c = a + b ........................ (II) Reemplazamos (I) en (II) c = a + 2a c = 3a ......................... (III) Asimismo: a + b + c = 12...
Respuesta
en
Matemáticas
y en 2 temas más
a
Ecuación. La edad de juan es de 2/3 de la edad de luis y la de matías es 3/5 de la edad de juan; la edad de los tres suman 62
Como estas: Sea: Luis: L Juan. J Matias: M Por datos: Arreglando la expresión y multiplicando por la constante "5k" Asimismo: Arreglando la expresión y multiplicando por la constante "2k" Luego: J = 10k; L = 15k; M = 6k Por dato: la edad de los tres...
Respuesta
en
Álgebra
a
Problema 3. Resuelva la siguiente ecuación con radicales y compruebe su solución:√?−?−√?+?=?
Karen como estas: Tenemos el ejercicio escrito de una manera diferente: Elevamos al cuadrado: Resolvemos: Luego: Elevamos al cuadrado: Resolvemos: Finalmente tenemos el trinomio: x - 14 x - 2 Luego los valores (raíces) para "x" son: Eso es todo,...
Respuesta
en
Matemáticas
y en 2 temas más
a
Resolver el siguiente Sistema de ecuaciones y compruebe su solución: ? ? − ? = ? ? − ?
Puedes volver a escribir la pregunta. No se entiende.
Respuesta
en
Matemáticas
y en 2 temas más
a
Resuelva la siguiente ecuación con radicales y compruebe su solución:√? − ? − √? + ? = ?
Camilo como estas: Tenemos el ejercicio escrito de una manera diferente: Elevamos al cuadrado: Resolvemos: Luego: Elevamos al cuadrado: Resolvemos: Finalmente tenemos el trinomio: x - 14 x - 2 Luego los valores (raíces) para "x" son: Eso es todo,...
Respuesta
en
Matemáticas
y en 1 temas más
a
