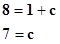
Indicar el valor de "a+b+c+d" ver imagen para detalles de los problemas

Espero sus respuestas amigos. Doy excelente. Les pido su ayuda porque me tiene muy confundido.
1 Respuesta
Respuesta de Luis Alberto Candio Salcedo
2

