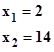
Resuelva la siguiente ecuación con radicales y compruebe su solución:√? − ? − √? + ? = ?
Agradezco si me pueden ayudar con la solución y explicación de esta ecuación.
1 respuesta
Respuesta de Luis Alberto Candio Salcedo
1

