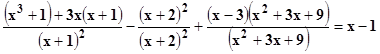
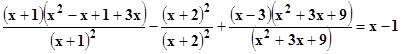
Como resolver las siguientes ecuaciones?
¿Presento dificultades para resolver las siguientes ecuaciones ustedes me pueden ayudar?
Agradecería la persona que me ayude
Slds!

3 respuestas
Respuesta de Luis Alberto Candio Salcedo
1
Respuesta de Valero Angel Serrano Mercadal
1
Respuesta de Lucas m
1



